
Frontiers | Antibiotic-specific differences in the response of Staphylococcus aureus to treatment with antimicrobials combined with manuka honey
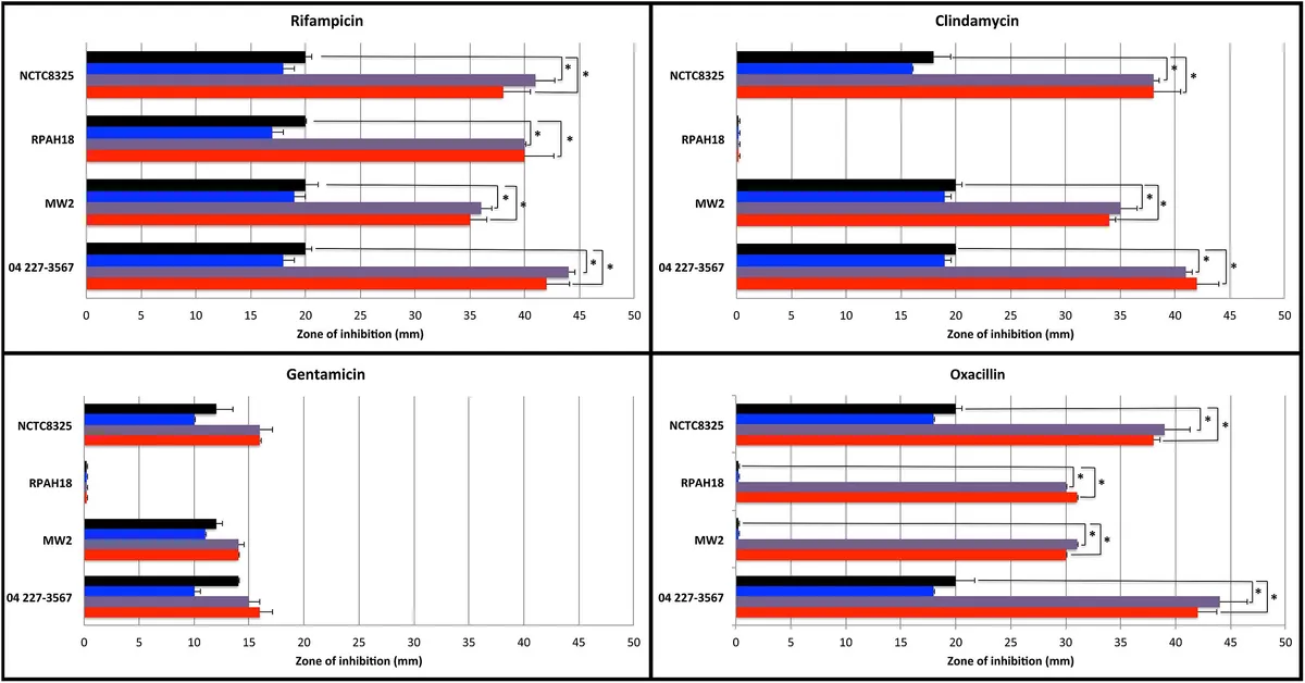
External linkSkin infections caused by antibiotic resistant Staphylococcus aureus are a significant health problem worldwide; often associated with high treatment cost an…